随着特朗普再次担任美国总统并推出一系列内政外交激进政策,国际经济政治形势正以“一天等于20年”的节奏,快速改变二战后美国参与主导建构的传统格局,显示“百年未有之大变局”正在加速展开。
我国是当今时代最重要的新兴大国,置身全球格局演变的关键地位并具有历史能动性,冷静研究并正确把握形势演变规律,科学选择应对内外挑战的政策,对我国经济以至全球发展前景都具有特殊重要意义。
与八年前首任比较,特朗普第二次冲击无论在内政还是外交领域,其任性和另类程度都显著提升。在本文关注的对外经贸领域,单边关税工具被过度利用到夸张地步,4月2日宣布对80多个贸易伙伴【1】加征对等关税等于是向全世界发起关税战;按照特朗普“经济顾问委员会”主席斯蒂芬·米兰(Stephen Miran)的设计,在打破原有国际经贸秩序后,美国还会试图将所谓“关税伞”与“安全伞”统合为一,构建对美国更有利并更有操控力的关税对象国家组别,强化对战略竞争对手的制衡打压。美方普适性高关税政策及引发的多国反制措施,会对美国经济带来反噬,对全球经济增长造成新风险,其后续重新整合国际经贸与地缘政治秩序意图如何展开,都提出需要关注研究的问题。
特朗普第一任总统时期就对我发动大规模贸易战,并遭到我国坚定有力的回应反制。面对“全球政治经济环境变化,逆全球化趋势加剧,……传统国际循环明显弱化”【2】的形势,2020年我国决策层适时提出“构建以国内大循环为主体、国内国际双循环相互促进”的长期发展方针。
回顾近五年发展,借助新型举国体制优势,我国在高科技领域补短板等方面取得明显成效,供给侧“双循环”推进缓解了关键技术领域“卡脖子”压力;然而国内需求不足问题持续存在,贸易顺差超常扩大,经济增长对外需依赖度大幅提升,“更多依托国内市场”这个双循环需求侧要求尚未充分实现。
在目前外部经贸环境雷声滚滚形势下,我国应对危机有诸多有利条件,同时也需重视内外不平衡因素派生的显著风险。
本文以特朗普2.0新政最近发力与外部经贸环境变化为背景,观察我国十四五时期贸易顺差扩大与结构性外部不平衡形势特点,从国际国内两方面特别是国内经济供大于求角度分析上述特点的根源,并由此探讨应对美方关税战与调控经济不平衡因素的政策举措。
针对当前特朗普变本加厉挑起关税战的形势,我国要在分析其政策逻辑及其错误和软肋基础上,采取反制霸凌与反对脱钩的两手并用方式加以应对,包括联手金砖成员国、发展中国家以及非美西方国家(即美国传统盟友国)抵制美国关税战政策。同时提升我国经济产业技术水平和巩固生产率追赶势头,直面内需不足消费偏弱伴随的内外不平衡因素,着力实施扩内需、增收入、促消费的再平衡战略,夯实我国经济持续发展的基础,并由此更有力地反制美方打压政策与更有效地应对外部环境变化。
本文内容分五部分:
一、简略观察特朗普2.0新政部分内容;
二、通过《米兰手册》讨论美国关税战背景逻辑及其本质弱点漏洞;
三、结合数据概括我国近年贸易顺差大幅增长和影响的九点事实特征;
四、从国际国内两方面尤其是内需不足角度,分析我国近年贸易顺差增长的六点原因;
最后,从外部应对关税战与国内推进再平衡两方面探讨我国的政策选择,并讨论经济主动再平衡也是反制美方关税战打压的占优选择。
一、特朗普2.0政策与关税战:对等关税计算方法令人大跌眼镜
与其首任比较,特朗普第二任期最初两个多月的施政,在政策激进性、推进急促性、手法浪漫性、与传统建制对抗决裂等方面都更为凸显。
例如在内政领域,马斯克领导的政府效率部(DOGE)大刀阔斧推进政府部门裁员,并试图关闭对外开发署和教育部等联邦部门;在移民政策方面以空前力度收紧边境控制,大规模驱离非法移民,并用“金卡计划”取代传统的EB-5签证计划。
在对外政策领域,有关俄乌战争立场的急剧转变,冲击和震憾美欧的传统盟友关系,在德国财政与国防政策以及欧盟防务政策领域产生立竿见影的反响;另外用不同方式对格陵兰岛和巴拿马提出领土诉求,更是引发全球关注与惊诧。
特朗普2.0最初两个多月出台的上述诸多举措,代表美国政策某些基本原则发生显著调整甚至方向性转变,标志战后美国参与主导构建的西方以至全球政治秩序与格局进入快速调整和重构期。
就其经贸政策而言,宏观政策与财长贝森特“3个3”计划强调的促进经济增长与控制财政赤字等目标大体一致,过去两个多月主要实施减税与放松管制举措,明显体现供给学派政策套路。
例如新政府承诺将延续今年底到期的2017减税法案(《减税与就业法案》Tax Cuts and Jobs Act:TCJA),表示将考虑把企业所得税从21%进一步降到15%。在放松管制方面逆转拜登政府积极推进气候变化治理政策,在入主白宫首日再次退出《巴黎协定》,撤销拜登政府多项环保限制,重启海上钻探与加速化石燃料开采,并计划废除《通胀削减法》中对电动汽车的补贴。另外,简化银行业合规要求,弱化气候风险披露规则,放松加密货币监管等,也体现其放松管制的政策取向。
但是美方目前实施去监管政策的特点,是很大程度寄希望于上述DOGE改革通过“去监管者”这个超常手段“去监管”,就此而言,DOGE内政改革成为目前美国宏观增长政策的关键举措【3】。
另外贝森特财长不久前有关美国经济面临衰退风险的公开表态,对观察新政府宏观政策思维可圈可点。考虑激进关税与移民政策引入“成本推动通胀”压力,叠加资本市场科技股高位回调减弱消费动能,近来市场分析人士有关美国经济衰退风险上升的讨论升温。
值得关注的是,贝森特在3月17日媒体访谈时公开表示:我不能保证不会发生经济衰退,也不担心出现股灾。这则看似客观中立的表态,与财经高官在媒体公开场合点评经济形势“说上联”、“言好事”的通常说法大异其趣,与长期以来美国两党诉诸刺激措施力度“没有最大只有更大”的政策取向也不一致。
这个表态,反映的是特朗普政府在换届就任之初的特定情境下,对可能衰退“迟来不如早到”的策略性偏好?还是自信其创新增长方式足以提振经济,因而准备退出长期持续追加刺激保增长的政策模式?另外,这个立场变化本身是否会对促成“特朗普衰退”产生某种影响?目前特殊形势下如果出现衰退是否会有远超通常周期性收缩的冲击与后果?在我国近年外需依存度较高的背景下,又该如何防范相关风险?这些问题都值得密切观察,有的问题会在下文初步分析。
由于目前美国执政团队成员偏执地笃信,外部世界占美国便宜是其经济困境根源,因而对外贸易政策成为其试图重构全球经贸秩序以实现所谓“MAGA”目标的重要渠道;但是在国际经济竞争力持续相对走低背景下,美国缺乏采用合理性建设性手段推动其经济走出战略困境的现实选项,于是关税则成为其高度看重和过度依赖的政策工具。
特朗普2.0贸易政策整体思路,在已经发布的两份备忘录文件中得到了系统阐述。
第一份文件是今年1月20日即特朗普主政第一天发布的“美国优先的贸易新政(America First Trade Policy:AFTP)”,陈述美国新政府贸易政策整体方针。联署该文件的联邦机构达九个之多,并且前三个部门依次是国务院、财政部、国防部,然后是商务部,第七个才是贸易代表,可见不是通常意义的部门性贸易政策文件,而是体现了目前执政团队经济思维的核心内容。
文件强调贸易政策要服从“美国优先”方针,体现增长、通胀、工资、财富、赤字等五目标,主要诉求包括减少贸易赤字支持国内制造业,新设“国外收入局(External Revenue Service:ERS)”配合关税战政策,评估外国不公平贸易措施并提出应对措施,评估美墨加协议(USMCA)和应对,基于对等原则评估所有现存贸易协议,评估扩大美国出口的双边和部门机遇,评估经贸领域反倾销反补贴的“双反”规则,评估对假冒品、违禁品、芬太尼、800美元以下免税进口政策等等。
第二个文件是2月13日发布的“对等贸易和关税(Reciprocal Trade and Tariffs:RTT)”,系统介绍贸易政策行动路线,其中以所谓“对等”作为核心原则,以关税工具作为政策抓手。基于对贸易伙伴不对等政策导致美方巨额逆差与产业空心化的不实指责,文件表示将系统评估外国对美国关税和非关税措施,并将其量化折算为“等值”对等关税作为新征关税的依据。这个所谓对等关税覆盖对象具有全球性,同时包括战略竞争对手国与美国传统盟国。经过一段时间紧锣密鼓准备,4月2日宣称依据1977年国际紧急经济权利法(IEEPA),推出对几十个主要贸易伙伴的所谓对等关税方案。在当天下午4点记者发布会上,特朗普总统将这一天称作“期待已久的美国解放日”。
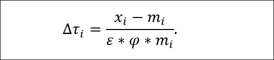
然而USTR公布的对等关税计算方法【4】让人大跌眼镜。该方法并没有在直接考察各国关税基础上设计美国对等关税,而是通过四个环节估测计算得到简单粗糙结论:
一是武断地把美国对每个贸易伙伴逆差占进口总额比例,看作是各国对美国的关税与非关税措施加总的关税率【5】。
二是主观挑选“用φ表示的关税对进口价格传递弹性”和“用ε是进口价格对需求的弹性(需求弹性)”,得到进口对关税弹性等于1的结论,即假定逆差率会与关税率1对1反向变动。
三是依据前两步结果,认定美国对各国逆差占进口比率,也就是把逆差削减为零所需要的针对各国的理论对等关税率。
四是以理论对等关税率为基础,对大部分国家采用约0.5的折扣系数【6】得到需新征的对等关税率,同时出于防止“贸易转运(transshipment.)”等考量规定所有国家对等关税不低于10%。

美国贸易代表办公室公布的计算公式(注:美方经过所谓核算,将ε、φ两个系数分别给定为4和0.25,所以二者乘积为1,该公式可简化表达为,综合税率=美方出口额-美方进口额/美方进口额。) 美国贸易代表办公室网站
依据上述方面,英国、新加坡、巴西等国得到最低10%的对等关税,对越南和柬埔寨分别制定了46%和49%的高关税,另外一些经济体税率居于中间,如欧盟20%、日本24%、印度26%、韩国25%、泰国36%、瑞士31%、印尼32%、马来西亚24%、我国台湾省32%。加拿大和墨西哥正与美国谈判,因而此次没有公布对两国的对等关税,另外延续此前对美墨加协议(USMCA)合格产品的关税豁免。这次对我国新增的所谓对等关税税率为34%,加上此前两次10%关税,以及2018-2019年301关税,对我关税累计叠加水平已达到极高程度。根据USTR估算,实施本次对等关税政策后,美国进口关税简单平均税率将升至约20%,进口加权平均税率升至41%。
在对等关税重头戏推进之前,特朗普政府已急不可待地推出两轮单边加征关税措施:一是以芬太尼供应和流通问题为借口,对墨西哥、加拿大征收25%关税,对我国两次分别加征10%关税。
二是取消2018年232条款钢铝25%关税的豁免措施,重新全面加征25%钢铝关税,并新征对钢铝衍生产品(如汽车零件、家电)覆盖价值达1510亿美元商品关税。
另外需要指出,虽然美方关税战在原则上针对所有贸易伙伴国,其目的是重构全球经贸秩序而不仅是调整双边经贸关系,但仍念兹在兹地把我国作为主要战略对手加以聚焦。
这一点在上述“美国优先的贸易政策”文件中得到体现:我国是唯一在其中得到专节(section 3)论述的国家,其中提出对我国经贸政策五大优先议题:一是评估第一阶段贸易协议;二是对2024年5月“对华301报告四年评估报告”进行再评估;三是考虑是否有必要对我国发起新的301调查;四是评估对华最惠国待遇(PNTR)地位;五是评估知识产权方面其它侵权问题。
二、从《米兰手册》看关税战思路:难以摆脱成事不足败事有余的结局
过去两个多月特朗普2.0新政令人眼花缭乱的内政外交举措,在对美国以及全球政治经济造成冲击同时,也引发观察人士的困惑。
美国作为唯一超级大国为什么要采取这样自毁长城的做法?是基于特朗普总统本人奇思乱想的任性之举,还是美国战略困境在特定政治派别思维中的歪曲反应?或是基于某种立场与逻辑派生的具有某种必然性的现象?
探讨和理解这些问题,新任美国总统“经济顾问委员会(CEA)”主席斯蒂夫 米兰(Stephen Miran)撰写的《重构全球贸易体系的使用者手册》(下文简称《米兰手册》),提供了一份奇文共赏意义上的不可多得的参考资料。
《米兰手册》真实用意显然是为关税战和货币战政策及其风险进行分析,然而这份去年11月发布的报告所表述目的,则是为投资者对国际经贸大格局转换改变市场环境参数提供警示。报告主要采用方法,对美方选择关税战(及后续可能的货币战)的背景、逻辑、目标与限制条件进行分析,其本意是要将离奇另类的关税政策隐含逻辑明显化,然而由于其存在的明显偏误漏洞,反而在实证意义上折射出相关经贸政策背后深层困境与暗淡前景,同时也提示这类政策谋划对新兴大国的挑战与可能陷阱。
笔者认为,基于知己知彼考量,有必要了解《米兰手册》,这里限于篇幅仅给予简略评论。
《米兰手册》的具体分析观点,大都不是出自作者原创,而是广泛吸收多年来美国学界和市场人士对美国经济战略困境及原因的分析结果【7】,该报告要旨是根据现实政治和市场需要提供一个比较系统的分析架构。这份40多页略显冗长枯燥的报告,大体重点讨论了三个层次问题。
第一个层次内容,是试图通过界定美国经济面临的根本问题,说明为什么美国要采取背离二战后美国传统立场方针的经贸政策?对此作者绕了一个圈子:先是借助文献重弹全球化与“中国冲击”导致美国贸易逆差与经济空心化的老调,接着追问为什么美元汇率难以调节逆差从而避免制造业过度流失?
对此作者采用了国际领域的一个流行观点给以回答:认为在美元作为主要国际货币背景下,受世界范围对美元储备资产的海量需求影响,美元汇率失去调节贸易逆差的基本功能,导致制造业等可贸易部门持续萎缩。
可见《米兰手册》分析前提,是把美国在对外经济关系领域面临的根本问题,定义为国际金融均衡汇率与国际贸易均衡汇率严重背离问题,或是一个当代版的“特里芬悖论(Triffin Dilemma)”问题。
然而上述分析定义大可商榷。一个广为人知相关经验证据,是过去半个多世纪,不仅美国制造业增加值和就业占比等指标持续趋势性下降,其它主要发达经济体如德国、英国、日本等国也不同程度呈现类似变化趋势,而这些国家主权货币的国际地位都远远低于美元,可见国际货币地位对国内产业结构虽有一定影响,但是并非决定性因素,更不是唯一因素。类似于经济发展过程中农业部门占比的趋势性下降,制造业相对比例回落应主要是由发展与人均收入提升过程中要素禀赋结构变化等复杂因素决定的。
就是这样一个存在漏洞的背景问题设定,构成了《米兰手册》后续分析内容的基础。
即便采用《米兰手册》对问题经验背景的分析设定,被当代版“特里芬悖论”困扰的美国经济在逻辑上其实应有两个方向选择。
第一,既然美元国际货币地位是始作俑者,对美国而言痛定思痛后解决方案,是让美元逐步退出主要国际货币地位,从而一劳永逸摆脱困境。
第二,在不愿或无法退出国际货币地位前提下,通过寻求替代政策工具应对美国当代特里芬悖论后果。在这个从“问题定义”到“问题分析”和“问题应对”的思维分岔口,作者并未正面阐述推荐自己的认知主张,而是以特朗普政府不愿放弃美元特殊地位为理由,转而分析在维持美元国际地位前提下,如何选择两类政策工具应对现实问题:重新设计贸易关税与调整美元货币安排。
第二个层次内容,是分析美国政府经贸政策的首选关税工具。《米兰手册》认为关税可减少进口缓解逆差,并助推国内制造业可贸易部门,这也是特朗普团队倚重关税的主要考量。
另外认为关税能带来额外财政收入,上述AFTP文件设立国外收入部门(ERS),也是希望借助关税收入缓解美国财政赤字和债务压力。《米兰手册》详细分析关税战为什么可能有效,哪些因素会限制关税有效性,关税通过价格传导推高通胀的可能影响等问题,相关讨论看似客观与实证,然而清晰可见作者支持实施关税战的立场偏好。
读完报告给人整体感觉是,《米兰手册》认为关税工具其实存在多方面问题,然而仍值得大规模利用,作者甚至赞同性引用20%最优关税率的研究文献,跟日前美方宣布对等关税实施后据推测美国平均加权关税将达到的水平较为接近。
另外值得关注的是该报告对未来全球经贸体系的前瞻性分析构想。《米兰手册》主题是“重构全球贸易体系”,“重构”自然包含破和立两方面目的和设计。通过关税战解构二战后构建的促进自由贸易的全球经贸体系,这方面分析思路是特朗普政府已在实施的政策;至于如何“重构”未来全球经贸体系,《米兰手册》给出的分析设计,是借鉴佐尔坦·波萨尔(Zoltan Poszar)对国际安全三属性定义,提出美国可统一安排未来地缘政治安全与国别关税水平,把安全伞与关税伞合二为一,然后基于多项衡量标准把贸易伙伴国区分为“友邦、对手与中立国”,实施不同的安全与关税政策。
例如针对友邦提供较高程度安全保障与适用较低关税,针对竞争对手则要实施制衡性安全政策与较高关税,中立国处于上述两类之间。这个设想是要用歧视性关税类别作为地缘政治博弈的重要工具,试图把全球化经济割裂为集团化经济,其针对新兴大国的战略意图昭然若揭。
《米兰手册》关税战设计有违经济规律难以成功。首先是大幅减少逆差目标受多因素限制难以达到预期,对此可通过分析USTR对等关税设计加以讨论。上述USTR假设进口对关税弹性为1其实过于乐观,原因之一是USTR假设美国进口需求弹性高达4,但是该机构自己也知道其它研究估计该弹性值在3-4之间甚至是2,较低需求弹性意味着给定关税加征带来逆差减少效果较小。另外这次美国对几乎所有国家同时加征关税,美国寻求替代性进口空间大为收窄,会导致更低进口需求弹性并减弱关税调节效果。
USTR计算关税效果时假定其它因素不变【8】,然而加征关税不仅会助推美元升值,而且还会引发贸易伙伴国对美国出口报复措施,进一步降低关税效果。最后美国政府关税收入虽会上升,然而进口品涨价会传导为通胀压力,拖累美国经济与贸易竞争力并损害消费者利益。
另外高关税或许会对国内特定行业产生局部性影响,然而不可能让制造业占比返回历史时期较高水平。原因在于产品内分工推动美国等发达国家制造业持续外包转移,深层经济根源在于转移对象部门或产品工序技术和生产率水平较低,无法支持美国人均高收入要求的工人高工资与要素高价格。
现在即征收平均20%高额关税,也难以弥补美国人均收入与新兴经济体贸易伙伴几倍差距所派生的工资与生产率落差。
回顾特朗普首任时为重振本国钢铝业实施25%保护关税,然而2018年以来美国钢产量下降约9%,北美铝产量仅增长0.83%,同期铝贸易数据显示,美国对墨西哥顺差减少与对加拿大逆差上升,可见钢铝关税根本没有解决美国行业竞争力低下和逆差问题。
还可这样推测:如美国真是实现了制造业回流,势必意味着生产率较低经济活动占比的显著提升,拖累美国经济整体生产率与国民生活水平,这时关税战首先会被美国选民普遍抛弃。
第三个层次内容是对美元货币政策的构想。这里的货币政策(currency policy),不同于美联储主管的用于稳定宏观经济的货币政策(monetary policy),大体是指针对美元主要国际货币体制安排及其派生属性特点进行调节的工具手段。基于上述对美国经济战略困境基本根源的背景分析,《米兰手册》从货币工具角度提出三点调节思路与政策选项。
第一个选项是主要贸易伙伴多边合作促成美元贬值。1985年9月美国、日本、西德、法国和英国五国签署的广场协议(Plaza Accord),通过联合干预汇市、政策窗口指导场等手段促使美元贬值以缓解美国贸易逆差,为这个选项提供了可借鉴的历史案例,因而《米兰手册》也将此称为“海湖庄园协议(Mar-a-Lago Accord)”。
该选项本质是在维系美元国际货币地位基础上,通过与主要贸易伙伴国多边干预推动美元贬值,缓解美元金融市场与贸易市场均衡不一致的矛盾。虽然米兰博士乐见这个方案,但是他也清楚目前形势与上世纪80年代根本不同,持有最大规模美元储备资产的国家,已不再是西欧与日本等美国盟友和发达经济体,而是中国、东亚其它经济体、中东产油国等,因而他对在新地缘政治环境下达成类似协议持保留态度。

所谓“世纪债券”的设想很可能导致美元国际货币体系的崩溃。图为2007-2024年美国国债持有者。深蓝色为外国持有者;浅蓝色为美联储持有;红色为美国国内私人持有者
另外两个选项则是通过美国施压改变美元储备资产交易条件的单边措施,目标是帮助美方缓解财政与债务负担,并通过减少美元储备资产需求降低美元汇率。
其中之一是所谓“世纪债券(century bond)”设想,即要求境外投资者(尤其是盟友)将持有的不同期限美债置换成100年期、不可交易且无息的债券,同时利用美联储货币互换等安排,保证境外投资者对美债资产变现的流动性需要,实际上是对美国政府原有债务的变相违约。
另一个选项是考虑对美债的国外买家征收费用,此类收费可能通过立法或行政命令实施,收费对象主要针对外国官方持有者即外国政府和央行等,设计收费方式可能通过扣留部分利息支付来实现。
无论是强制债券置换还是对持有债券收费,都是美国谋求一己私利的单边强制措施,试图由此打破现有国际规则并重构以美国利益为核心的金融体系,自然会受到国际上美债投资者广泛反对与抵制,并可能导致美元国际货币体系的崩溃。
为此《米兰手册》对该方案设计了胡萝卜加大棒的加持机制:将接受相关安排与美方提供安全保护与允诺较低关税挂钩,对不配合国家以不提供军事和安全保护相威胁,或者以提高或降低关税水平相诱逼,不加掩饰地体现了单边主义与霸凌性质。
不过《海湖庄园协议》有一项建议比较中性,就是希望外国制造业企业到美国投资,其中特别提及中国在这方面最有合作潜力。
上述两个单边性质政策选项,具体内容不同然而体现类似政策意图。
第一是向境外投资者征收隐性费用:这一点在持有环节收费上直接表现出来;债券置换意味着原有债券利息收益被剥夺,且本金实际价值或因长期通胀和美元贬值而缩水,实际上也等同于缴费。
第二是缓解美国财政压力:美国债务规模已突破36万亿美元,2024年利息支出激增到8920亿美元,通过减少境外投资者利息支付或收取债券持有手续费可降低美方偿债压力。
第三是有助于美元贬值:减少境外投资者对美债的需求可能削弱美元汇率,从而提升美国出口竞争力,因而与较弱美元有利于制造业的逻辑也是一致的。
“海湖庄园协议”目前仅是政策思路的研究结果,尚未成为美国政府的施政选择。《米兰手册》对此解释是,这些货币性政策可能直接冲击金融市场,并可能对美元主要国际货币地位产生显著影响,基于特朗普政府优先维护美元国际货币主导地位立场,目前暂不考虑采用相关政策。
但是《米兰手册》并未排除这一选项必要性,而是认为在政策设计实施路径上应采用先关税、后货币的顺序。目前美方空前规模单边关税政策已大体如期和盘托出,货币型政策选项是否会被实际采用有待后续观察。
从经济逻辑与现实形势看,《米兰手册》以特朗普政府分析推演的另类经贸政策,难以摆脱成事不足败事有余的结局:最终难以实现大幅度减少双赤字与大幅度提振制造业目标,然而已经对国际经贸秩序造成严重冲击,增加全球范围保护主义政策普遍回潮风险,并很可能拖累全球经济增长引入衰退风险。
从大国竞争角度观察,我国经济实力增长特别是供给端竞争力提升,对韧性应对外部冲击提供了坚实保障,为反制美方单边霸凌提供了有力支持;然而在国内需求偏弱与贸易顺差过大背景下,亟需提振消费与内需推进经济再平衡,有效应对美方安全与关税“两伞合一”制衡战略。下面侧重考察近年外部顺差扩大的结构性失衡特点和原因,并结合外部环境演变探讨我国应对策略。
三、我国十四五外部顺差增长九大特征:发展中国家对华发起贸易调查占近6成
观察改革时期我国货物贸易顺差占出口比例变化,会发现该指标在趋势性上升过程中经历六个高点,代表我国开放型经济构建和成长进程中贸易平衡形势变动的周期性特点。
第一个周期性高点发生在改革初期,当时国民经济调整整顿伴随短期需求紧缩效果,加上体制改革驱动的温饱阶段供给侧增长,构成当时顺差增长驱动力。
第二和第三次分别发生在1990年前后与上世纪末,都是国内需求受不同原因影响——包括东南亚金融危机冲击——出现增速显著下滑,国内经济阶段性供大于求推动顺差增长。
第四次新世纪初年情况特别:当时在国内可贸易部门生产率追赶提速与出口竞争力大幅提升背景下,国内结构与政策调整滞后,使得内需增长未能充分匹配供给端跃迁,伴随对外顺差大幅飙升。
第五次是2013-2015年前后,在三期叠加和供给侧结构性改革政策环境下,国内去产能与需求减缓推动顺差增长。
最后一次发生在最近几年或十四五时期,受国内外复杂因素特别是国内供大于求影响,贸易顺差再次扩大,顺差占比上升到创纪录水平。下面从九个方面简略观察最近一轮顺差增长及影响特点。

特征一:经常账户总量创新高,但是顺差占GDP比例仍在大体正常范围。从宏观角度看,观察一国外部平衡形势,基础性指标之一是经常账户平衡情况。十四五前四年(2021-2024)我国年均经常账户顺差金额是3678亿美元,是十三五时期年均1512亿美元的2.43倍,也超过了十一五时期年均顺差峰值2973亿美元两成多。
但是从另一方面看,由于我国经济总量规模大幅增长,经常账户顺差占GDP比例在十四五前四年简单平均值为2.02%,虽比十三五时期1.16%显著上升,但是大尺度低于十一五时期的峰值7.24%,总体上处于大致平衡的范围。
国际货币基金组织(IMF)定期发布各国对外部门报告(ESR),近年对我外部平衡状况也认为是与中期内部基本面“大致符合”(broadly in line)状态【9】。


特征二:贸易顺差及GDP占比均较大幅度上升。近年我国货物贸易顺差大幅飙升,2024年达到9921亿美元,十四五前四年年均达到8222亿美元,比十三五年均顺差4451亿美元超过84.7%。我国服务贸易持续处于逆差,十四五前四年年均逆差1550亿美元,比十三五年均2377亿美元下降34.8%。结果贸易总顺差从十三五时期的2074亿美元增长到前四年年均6672亿美元,增幅两倍多;贸易总顺差占GDP比例为3.67%,远超十三五的1.34%。
特征三:在货物贸易内部,制成品顺差扩张速度远超初级品逆差增长速度。制成品顺差2024年达到1.99万亿,四年的年均规模达到1.74万亿美元,比十三五时期年均9650亿美元增加7750亿美元,增幅为80.3%。
同时我国初级品贸易逆差2024年也大幅增长到8989亿美元,四年的年均值为8897亿美元,比十三五年均5012亿美元增加3885亿美元,增幅为77.5%:初级品逆差增量绝对值约为制成品顺差绝对值一半,其逆差增幅也略小于制成品顺差增幅。


特征四:在制成品内部,高科技制成品顺差加速猛增,同时传统行业包括中低端部门顺差也快速增长。十四五前四年平均每年高科技制成品顺差7850亿美元,比十三五时期的年均3423亿美元年均值增加了4427亿美元,增幅一倍多。如电动汽车、锂电池、太阳能电池“新三样”部门,2018年出口加总不到150亿美元,2024年出口达到1310亿美元,创造顺差增量1000多亿美元。又如化工基础原材料行业由十三五时期年均逆差约500亿美元,转变为十四五前四年年均顺差258亿美元。
不过我国传统制成品包括中低端制成品行业顺差也快速增长:十四五前四年均值为9622亿美元,比十三五年均6227亿美元增3395亿美元,增幅54.5%。制成品贸易顺差呈现“中高端猛增与中低端快增”特点,或与我国各级政府都会用各种方式执行各自产业政策,并对某些传统产业退出客观形成掣肘有关。
特征五:顺差区域分布呈现多元化分散化趋势,但是美欧主要经济体仍占据绝大部分。从我国对占全球经济86%的七个国家和经济体而言,我国货物顺差十四五相比十三五时期具体情况:东盟顺差增长1.2倍,中亚五国3倍以上,欧盟增1.3倍,美国增幅小仅有30%。美欧顺差占比从十三五占大约的大约九成,减少到十四五前四年的年均76%,显示我国对美欧主要发达经济体顺差依赖度显著减少,但是美欧市场仍是我国顺差实现的基本对象。另外数据显示,我国对若干国家通过OFDI以及转口贸易一定程度实现对美顺差转移。


特征六:我国货物贸易和制成品贸易顺差的全球占比大幅度提升。一是货物贸易占全球顺差比例大幅提高,从2018年17.5%上升到2024年36.6%。二是制成品贸易顺差占全球顺差比例,从2020年47.8%上升到去年64.8%。结构性贸易顺差在全球范围占比高企,提示我国开放型经济外部竞争力很强,但是在目前外部经贸环境剧烈变化环境下,如果整体需求萎缩,我国也面临较大风险。
特征七:我国经济增长对外需依赖度大幅上升。受疫情冲击等多方面因素影响,2020年以来我国平均经济增速回落到5%以下,同时经济增长对外需依赖度大幅增长。
十四五前四年,我国外需增长拉动GDP增长百分数【10】为0.77,远远高于十三五时期年均0.08个百分点,从新世纪以来历史看仅低于2005-2008年经济明显失衡时期的1.07个百分点。从外需对GDP增速贡献率指标【11】看,十四五前四年该贡献率年均值为13.17%,远超十三五时期的5.24%,甚至超过2005-2008年连续四年均值的历史峰值8.56%。
需要注意的是,世纪初几年顺差快速扩张后,在外部金融危机冲击下我国经济外需增长贡献度急剧收缩,2009年和2010年该指标分别下跌到-42.2%和-10.6%,对GDP拉动百分数分别为-3.97和-1.12个百分点。
历史经验值得注意,在目前美国发动极致关税战和外部环境逆转形势下,如何防范我国贸易顺差超常扩张后经济持续增长可能面临的逆向冲击,成为当前亟需未雨绸缪的问题。


特征八:2023年美西方发达国家贸易保护主义政策抬头,特朗普政府更是把滥用关税政策工具发展到极端程度。
美西方在2021-22年疫情期对贸易平衡问题相对隐忍,2023年下半年后转而采用单边关税等措施打压我“新三样”出口【12】。美国2024年5月宣布对我电动汽车加征额外100%关税。同年7月4日欧盟开始就我国电动汽车所谓补贴问题实施临时加征关税,8月26日加拿大宣布将对从中国进口的所有电动汽车加征100%关税。如上文观察的,特朗普政府上任后更是频频挥舞关税大棒,特别是日前祭出所谓“对等关税”,更是把关税保护主义政策实施到登峰造极的程度。
特征九:我国在WTO内面临贸易调查案例数达到创纪录水平,显示外部经贸环境全面趋紧。
2021-2022年我国在WTO内遭遇贸易调查数处于低位,这两年贸易争端数快速回升,尤其是2024年达到198起的创记录水平,比2009年的历史峰值124起跳升59.7%。剔除针对中国的全球WTO内贸易争端案例情况,相关指标近两年也大幅回升,2024年达到237起,不过只是该指标在历史上的第五高年份,比历史峰值309起仍低30.4%;实际上2024年我国面临争端增量111起,占2024年全球增量206起的53.4%。可见去年我国在WTO内面临前所未有的贸易调查数,既是全球经贸关系紧张普遍形势的产物,也在一定程度上是我国特有现象。

另外,对我国发起贸易调查的贸易伙伴,不仅有美欧等发达经济体,而且也有不少发展中国国家。


上面数据显示,2024年发展中国家对我发起贸易调查117起,占我遭遇贸易争端总数的近六成。这些情况与公众一般认为针对我国贸易争端主要源于发达国家的传统认知不完全一致,显示我国出口顺差不仅在中高端或新兴行业加速扩大,在相对传统部门和较低端行业也在快速增加,传导为我国外部经贸关系较普遍趋于紧张的压力。
值得思考的是,不少发展中国家与我国经济发展水平不在同一数量级,那么在什么产业对方认为我国出口与其国内企业构成直接竞争压力,以至于接二连三地在WTO内对我发起贸易调查呢?这背后可能有复杂原因,不排除其对国内企业保护过度的不合理因素,但是从我国情况看,也可能与多层级产业政策环境有关:国家级产业政策瞄准前沿高科技突破,沿海较发达省份和城市产业政策也较多瞄准前沿性部门,甚至沿海发达地区地市级城市也会以较为高端产业作为政策目标,然而经济较后进省区的地市级以至县级的产业政策,则更多涉及产业结构中较为中低端部分,有可能与低中收入外国产业形成竞争关系。因而,上述贸易争端领域特殊现象,或与我国要素价格包括国民收入分配存在问题有关。
基于上述思考,笔者在东部省份一个经济欠发达县的开发区内,找到类似贸易调查涉案产品的某个生产企业【13】,该企业从2006开始生产这个涉案产品,当时在当地属于较为先进产业,然而近20年技术工艺未能显著升级。
在一个结构转型持续推进、劳动力工资等要素价格有序提升的经济环境下,这类已存在近20年生产流程本应转型提升或有序退出,然而目前该企业仍维持半开工并对内供货与对外出口,并且仍得到当地政府的政策支持。应当指出,出现这种资源配置不尽合理情况,责任不在企业,更不在工人,因为市场主体基于自身机会成本决策并没错。没有退出是因为缺乏更好的转型机遇,也是缺少要素价格合理提升的倒逼压力,折射我国开放型经济内外不平衡的深层矛盾因素。
四:近年贸易顺差增长六大内外根源
近年全球经济经历多重冲击与罕见波动,我国出现贸易顺差飙升与结构性外部不平衡态势,背后存在内外多重根源。初步梳理至少有国际国内六方面原因,对外部贸易平衡产生影响,其中国内经济供大于求或供强需弱,对外部平衡态势具有比较重要解释作用。下面分别观察六点因素影响,然后综合讨论其整体作用机制。
原因一:疫情期间中外不同取向反危机政策的影响。面对突如其来的新冠疫情大流行冲击,我国与主要发达经济体因具体国情差异采取了不同应对方针。就经济应对政策而言,我国反危机刺激政策资源,主要用于补贴供给侧企业部门的复产扩产,对普通居民直接补贴较少,伴随生产增长较快与居民消费增长偏低。
比较而言,美欧对普通居民提供大规模收入补贴刺激消费较快增长,然而企业复产扩产动能不足。双方镜像互补关系通过贸易渠道传导为我国顺差增长,该因素在2020-2022年作用特别明显,我国对美顺差创记录、对欧盟顺差翻倍主要发生在这个阶段。对此学界有较多分析,笔者2022年也曾撰文讨论【14】。
原因二:与第一点原因密切联系,疫情期间美欧主要发达国家实行过度刺激政策导致严重通胀,通过加息治理通胀抬高汇率,侵蚀其外贸竞争力并助推中国作为其贸易伙伴的顺差扩大。
在新兴经济体快速追赶背景下,美欧主要发达经济体本来就面临制造业等可贸易部门生产率增速,与新兴国比较相对下降拖累其贸易竞争力的格局,疫情期受长期依赖刺激的经济思维支配,实施空前规模并直达居民家庭的超级刺激政策,导致2021年出现美西方四十年不遇的大通胀,结果不得不通过紧急大幅加息应对。通胀与加息抬高美欧实际汇率导致逆差激增,成为诱致我国贸易顺差增长的外部原因之一。

原因三:近年制造业产业升级突破,在中高端和新兴部门形成新的组合优势,通过出口增长与进口替代推高贸易顺差。
虽然外部和特殊环境因素影响不可忽视,理解大国外部顺差超常增长与结构性顺差失衡现象,仍需把观察重点放在国内经济增长与供求关系现实情况上。对此需关注两方面动态因素:
一是我国可贸易部门产业技术发展近年取得明显阶段性进展和突破,带动供给侧产能与外部竞争力显著提升。这方面变化本身是积极成就,并且在某些方面有助于实现“双循环”战略在供给侧的具体目标。
二是在需求端的国内需求不足特别是消费偏弱问题不仅没有实质性改善,反而由于多方面原因持续发酵和加剧。推进“双循环”在供给侧与需求端目标两方面反差,对贸易顺差快速扩大与结构性外部不平衡产生影响。
改革开放时代,我国工业制造业转型升级大体经历三阶段演进。一是上世纪80到90年代初,体制转型推动国有工业结构重构,开放市场环境下轻纺、消费和加工制造能力快速发展。二是从90年代前中期开始到2010年前后,工业化和城市化提速推动重工业大发展,产业链扩展推动我国诸多制造业发展到全球最大规模,资金和技术密集度显著提升。三是近年制造业主流能力提升到中高端,部分领域跻身前沿,个别行业领跑全球。如先进船舶、轨道交通、石化基础原料、大型飞机、医疗器械、芯片制程、工业机器人等不同程度进步。
上文提到两个部门表现比较突出,一是化学基础原材料产能大幅增长推动贸易逆差转顺差,二是“新三样”新兴绿色产业超预期增长,国内生产消费与出口顺差都大幅增长。

原因四:房地产市场调整对内需产生阶段性抑制作用。2020年实行“三道红线”政策以来国内房地产部门经历深度调整,下面数据显示房地产销售、融资、投资、价格等指标,都经历上世纪末房地产行业市场化以来最大幅度调整。
房地产是具有显著宏观影响的产业部门之一,新政在释放该行业多年过度扩张积累矛盾取得积极成效同时,也从不同渠道对固定投资、居民消费产生客观制约作用;另外在我国特殊土地财政体制下,房地产深度调整伴随地方政府经营土地基金收入大幅收缩,进一步通过地方支出减少拖累国内投资和消费。内需不足特别是消费偏弱,增加外需依赖度并传导为出口顺差增长。

原因五:最终消费偏弱是助推顺差增长的深层原因之一。消费相对偏低是上世纪末以来宏观经济分析持续关注的问题,虽然居民消费占GDP比例在新世纪第二个十年显著回升,然而该指标近年再次回落提升相关问题变得更为棘手。
消费与投资在宏观经济分析中虽同为内需基本组成部分,然而从保持供求平衡关系要求看二者有不同作用和属性:因为固定投资在其实施时期属于需求,待投资完成后便转化成固定资产,成为供给侧的新增生产能力,要求额外新增需求匹配才能保持动态意义上供求大体平衡。
相比之下,消费具有终极意义上需求含义,因而有时被称作最终需求(final consumption),对保持总供求平衡具有特殊作用。假如消费需求持续偏弱,扩大投资作为过渡性需求虽对平衡总供求具有重要作用,然而难以解决根本问题,并会在开放环境中传导为较大规模的对外顺差扩张。


对于近年我国消费偏弱原因,学界和政策部门有大量研究,从疫情冲击及其疤痕效应、逆周期宏调一度滞后、房地产强监管影响等不同方面进行了分析。笔者认为,从长期看庞大公共资源较多向提升供给能力方向配置,用于支持居民收入和消费的投入比例偏低也产生了影响。
在我国“四本账”广义财政收入基础上,加上国有企业利润与公共部门折旧,可推测我国公共部门掌控资源占GDP比例或在45%上下。我国公共资源配置方式长期特点,是大部分通过各类投资主要用于促进供给能力发展,这对提升我国生产力和产业技术水平发挥了重要积极作用,然而用于支持居民收入与消费的投入规模则相对较小和偏少。当供给能力得到持续大幅拓展提升后,与内需不足特别消费增长较慢匹配不协调,供强需弱矛盾对贸易平衡方式产生影响。
原因六:近年一般物价走势偏弱与本币实际汇率较大幅贬值推高顺差。从开放经济增长规律形态看,一国在生产率快速追赶阶段本币实际汇率会呈现逐步升值趋势,在推动本国经济结构转型同时保持国际收支大体平衡,并支持本国人均收入较快提升与收敛。这个增长逻辑又被称作巴拉萨-萨缪尔森效应,在国际比较经验中有相当程度表现,我国新世纪初年人民币持续升值伴随高景气度增长,体现巴拉萨-萨缪尔森效应作用【15】。
近年我国经济虽经历多重冲击,然而人民币名义有效汇率在波动中仍维持较强水平,显示我国经济竞争力与韧性强大;然而由于总量供大于求矛盾与一般物价偏低,加上国外通胀高企,导致人民币实际汇率大幅走低:过去一年多实际汇率指数回落到2013年水平,比2016年峰值贬值约12.5%。
在产业科技和生产率快速追赶背景下,巴拉萨-萨缪尔森效应规律作用客观要求本币实际升值以保持国际收支动态平衡,然而近年特殊环境下人民币实际显著贬值形成的“逆巴拉萨-萨缪尔逊效应”,客观上会反向调节外部竞争力并助推顺差扩张。


需要指出,上述影响近年我国顺差增长的六点国际与国内因素,其发生作用方式并非平行或独立,而是存在交叉和交互作用。例如疫情冲击与楼市调整,都会通过不同渠道影响国内消费增长;人民币实际汇率走势,更与国内外宏观经济与政策相对态势涉及的广泛因素有关。
总起来看,十四五时期我国贸易顺差大幅增长和结构性不平衡表现,不应仅被看作是本币实际贬值派生的短期宏观现象,而是在疫情冲击与外部通胀影响下,新兴大国经济阶段性供大于求或“供强需弱”矛盾在对外经济关系领域的投射,提示需采用内外统筹方法,通过综合实施扩内需、增收入、促消费政策加以调节。
五、外部应对关税战,国内解决消费不足
概括上文讨论,目前国内外经济形势呈现几方面特点:
一是从外部看,“世界百年未有之大变局加速演进”,国际地缘政治经济关系趋于紧张,单边主义和保护主义冲动上升,美方更锁定我作为主要竞争对手加大关税战与经贸打压力度。
二是国内经济持续中高速增长,尤其是近年国民经济中可贸易度较高的工业制造部门产业技术水平阶段性较快提升,整体供给能力显著增强,意味着我国谋求发展生产力的长期努力取得阶段性实质进步。
三是从总供求关系看,虽然需求也保持了显著增长,尤其是近年消费在局部频频出现新亮点新活力,然而总体上内需不足尤其是居民消费偏弱问题持续存在,由此形成供大于求供强需弱格局伴随贸易顺差大幅增长,在新的风云突变外部环境下面临显著风险。
辩证分析目前形势,首先要看到我国经济供给端制造业蓬勃发展,高科技行业快速追赶,国内市场潜力巨大的优势与韧性,美国发动前所未有关税战不得人心,最终会因自身反噬与外部抵制归于失败,因而对外部环境冲击保持定力与信心具有客观基础。
同时也要清醒认识到我国发展某些阶段性特点,如内需不足消费偏弱伴随贸易顺差过快增长,在目前关税战形势下面临调整压力。在目前风云变幻的危机环境中,亟需两手并用之法:即外部应对关税战,国内大力推进再平衡;既对美国关税战施压敢于碰硬反制,同时借助外部环境倒逼作用,着力解决内需不足与消费偏弱的长期矛盾,在转危为机过程中为初步实现现代化远景目标奠定基础。
5-1 当务之急是两手应对美方关税战
面对特朗普2.0新政对我升级打压遏制的长期战略,尤其是针对其就任以来频频发起关税战、特别是日前推出登峰造极的对等关税的危机形势,我国需坚持实施两手并用方针加以应对。
在新兴大国持续追赶与全球格局演变背景下,美国百年经济霸权地位相对减弱是客观趋势,然而美方不可能会心平气和地接受历史规律,而是必然会采用自认为对其有利的关税战或其它工具奋力一搏,同时也必然要用全部心力应对最大新兴经济体,因而相关矛盾无法仅仅通过谈判协商就能得到解决。我方需认清规律、坚持原则、回应挑战以维护我国的核心利益。
2025年4月2日,美方宣布对所有贸易伙伴征收“对等关税”,次日中国商务部新闻发言人就明确表示,“中方对此坚决反对,并将坚决采取反制措施维护自身权益。”4月4日,中方有关部门接连表态并发布回应措施:包括对原产于美国所有进口商品在现行适用关税税率基础上加征34%关税,在世贸组织争端解决机制起诉美方对华产品加征“对等关税”措施,发布对7类中重稀土相关物项实施出口管制措施的公告,决定将16家美国实体列入出口管制管控名单禁止对其出口两用物项,将11家美国企业列入不可靠实体清单实施制裁,对原产于美国、印度的进口相关医用CT球管发起反倾销立案调查,暂停美国2家禽肉企业产品输华,暂停美国C3家企业禽肉骨粉输华资质。

中国发布反制行动
十余项组合反制措施,明确表达了中国不畏霸凌、奉陪到底的立场和自信。
针对目前美方对世界各国普遍发动关税战的特殊形势,我国可以考虑积极开展对发展中国家、金砖成员国、特别是非美西方发达经济体(即美国传统西方盟友)的双边与诸边经济外交工作,也可积极利用G20合作平台、IMF与和世界银行春季会议和年会等多边场合,主动发声伸张正义并与国际社会联手抵制美方关税战和逆全球化政策冲动。同时要积极与国际社会沟通合作,探讨在美国心猿意马甚至干脆退群背景下,创新多边经济金融治理的途径和方法,制衡美方为所欲为单边举措及其负面影响。
我国有关部门日前“敦促美方立即取消单边关税措施,与贸易伙伴通过平等对话妥善解决分歧。”可见我国不会完全关闭在美方立场转圜前提下,与对方协商谈判降低冲突损失的大门。
例如上述美方有关两国第一阶段经贸协议实施情况谈判的提议,有关鼓励我国企业到美国直接投资的设想,虽然目前处于硬碰硬和扳手腕阶段不可能提上议程,后续随形势演变可审时度势适时回应。另外目前全球经济被气变、债务、低增长和贫富差别多重危机困扰,只要美方没有彻底决意走向完全自我封闭,它就不能不面对这些涉及多边经济金融治理问题,中美和其它国家仍需在诸如G20、世界银行、IMF等多边框架内协商共事,这也为遏制美方政策进一步朝更加极端化方向演变提供现实机遇。最后对美方关税战增加全球经济金融风险甚至引发衰退危机可能,我方需保持警惕未雨绸缪。
5-2 实施扩内需再平衡的占优策略
“改革开放以来,我们遭遇过很多外部风险冲击,最终都能化险为夷,靠的就是办好自己的事、把发展立足点放在国内。”【16】大国外交本质是内政,应对外部环境重大演变,基本要务是要坚持问题导向方针,针对性化解高质量发展面临的现实突出矛盾,夯实国内经济可持续发展的基础,由此转危为机并赢得主动。
从上文讨论的我国外部平衡周期与国内经济增长关系看,新世纪初年贸易顺差大幅度增长后,美国爆发金融危机使得我国经济面临很大调整压力;虽然那次由于G20国际合作机制创新与大国联手刺激经济,使得危机较快得到控制,然而仍导致我国2009与2010年外需收缩GDP占比分别为4.0和1.1个百分点,意味着这两年国内需求必须额外累计增长5.1个百分点,才能维持危机前增长水平。
目前美方实施关税战“掀桌子”颠覆了大国经济政策合作的基础,如果出现经济衰退其派生冲击可能更加难测。因而针对目前特殊形势,我国在敢于亮剑反制美方关税战同时,还要从供给与需求两端同时入手,特别是要针对内需不足与消费偏弱突出矛盾补短板,着力推进我国经济再平衡。
经济再平衡是为了中国经济可持续更好发展,其前提内涵是要保持供给端活跃提升的良好局面。为此要通过充分发挥市场机制的决定性作用与更好发挥政府的作用,在总结新时期我国生产力发展与供给能力提升的成功经验,通过更加聚焦体制端点的供给侧结构性改革优化创新能力和效率水平,保持巩固新质生产力活跃发展的良好势头,加快彻底改变“产业体系整体大而不强、全而不精,关键核心技术受制于人状况”【17】。
在持续提升供给能力与结构质量同时,针对近年经济增长持续存在国内供大于求与国外顺差扩大的不平衡格局,尤其是针对内需不足特别是消费偏弱的矛盾,需要综合实施宏观、结构、体制政策调整,扩大内需和促进消费,主动加快推动经济再平衡。
去年9月下旬以来,决策层推出一系列货币金融刺激措施与侧重化解风险的财政政策,已经对推进再平衡产生了初步积极效果。后续还可以考虑改善收入分配发挥关键作用,例如通过深化公共财政体制改革显著提升居民收入占比,提升跨区域城乡基本公共服务均等化水平。短期或可优先考虑适度加大运用中央财政事权,提高最困难人群养老金水平,分担或免去这部分居民医保缴费。
无需追加财政投入的体制改革举措,对应对目前挑战也具有实质性意义,包括农地制度、户籍制度改革,有效加强提升法制水平等,这些措施都有助于应对需求与信心不足问题。例如农地制度与户籍制度改革有助于激活居民消费,对此学界具有较大程度共识,有关改革试点或部分区域改革推进多年,需下决心实施突破性改革。
另外,我国公共部门大规模资源长期较大比例投向供给端有其历史合理性,针对现实发展阶段与内外环境变化,需调整配置结构适度增加支持民生比例,特别是让低收入人群保障水平得到逐步提升,从而显著提升居民现实和预期收入水平,并釜底抽薪地解决消费偏弱及其派生的结构性经济问题。
需要指出,针对增长不平衡因素加大推进再平衡政策力度,是我国经济高质量发展并更大限度惠及广大群众的内在需要,是提前对冲美方挑起关税战可能引发衰退导致外需收缩冲击的需要,另外在长期也有助于应对外部环境演变与增强我国在大国博弈中的主动地位,因而从大国实施内外统筹政策方针看,其实是具有占优策略的必要选择。
一是我国经济再平衡有助于缓和外部经贸关系,从而反制美方打压企图。特朗普政府对其盟友实施关税霸凌也不留情面,然而由于经贸利益矛盾与体制认知分歧,美西方对华经贸政策仍保持联手博弈立场,另外发展中国家与我国经贸关系矛盾也显著增长。我国主动加快推进经济再平衡,有助于改善与欧盟等非美西方经济体的经贸关系,也有助于提升与发展中国家经贸合作能力和水平,从而对美方制衡形成突围和反制。
二是再平衡是推进人民币国际化的必要之举,有助于反制过度利用美元国际货币地位。国际货币体系演变规律具有特殊性:新旧替代不是“旧的不去新的不来”,而是“新的不来旧的不去”;问题不在原有储备货币怎么糟,而在于新兴货币能否具备现实替代能力。
新兴货币要担当大任,其母国经济不仅要有强大供给能力,还要具有依托本国人民普遍较高收入的强大消费能力,供求两侧条件缺一不可。随经济发展提高国民收入和消费水平,本身是经济活动的本质目的,并非出于特定国际竞争目标,然而它在客观上有助于制衡美方利用现行国际货币地位予取予求。
三是再平衡过程推动我国产业技术追赶升级,进一步减少美方在越来越有限高科技领域对我“卡脖子”可能。我国经济主动再平衡不仅要扩内需促消费,而且会通过开放型市场经济体制,进一步完善与经济增速向潜在增速收敛提升,推动我国产业向高附加值、创新驱动方向加快转型提升,从而进一步提升我国应对外部经贸科技打压的强大应对能力。
最后通过再平衡逐步调减对美方市场依赖,有助于削弱顺差较大背景下美方发动关税战的技术性有利因素。美国出于私利挑起关税战,因违背规律难以实现目标并会遭遇反噬,其实折射美方战略选择空间逼窄。
巨额逆差显示美国经济竞争力不足弱点,不过同时也为其极致性利用关税杠杆提供相对有利因素。例如在两国双边出口对各自GDP占比相差4-5倍背景下,同等税率关税战会对占比值较高一方在短期带来较大调整压力。我国推进再平衡扩大国内市场,有助于逐步从根本上平衡上述格局并推动有利于我方的转变。
注释:
【1】数据来源于白宫2025 年 4 月 2 日行政命令提供的附件I,这次美方对包含欧盟在内的57个经济体宣布加征关税措施,如果把欧盟27个成员国分别计算则是对83个加征关税。https://www.whitehouse.gov/wp-content/uploads/2025/04/Annex-I.pdf
【2】习近平:关于《中共中央关于制定国民经济和社会发展第十四个五年规划和二〇三五年远景目标的建议》的说明:新华网 2020-11-03。
【3】笔者在2024年底“中美贸易战如何应对?特朗普内阁三大新动向值得关注《观察者》2024-12-16”中指出这一点,现在政策走势与上述观察推测大体一致
【4】USTR:“Reciprocal Tariff Calculations”,https://ustr.gov/issue-areas/reciprocal-tariff-calculations
【5】Tariffs Charged to the U.S.A. including currency manipulation and Trade Barriers.
【6】 USTR没有介绍这个大约0.5系数的来历,应是出于为后续谈判继续施压提供杠杆等方面考虑。
【7】 如 Joseph E. Gagnon & Fred Bergsten 多年前对竞争性美元政策的系统研究,Michael Pettis多年来有关美国满足对美元储备资产需求导致贸易逆差的分析以及Brad Setser的相关研究,Zalton Porzar近年对布雷顿森林体系3.0版的观点阐述,一些学者包括Robert Lighthizer质疑自由贸易的研究,以及《米兰手册》引用的所谓两次“中国冲击”论文及其它具体分析环节涉及的文献。
【8】Assuming that offsetting exchange rate and general equilibrium effects are small enough to be ignored……(USTR:“Reciprocal Tariff Calculations”).
【9】IMF:External Sector Report, 2024 "Imbalances Receding".
【10】该指标衡量在三驾马车其余两项投资和消费对GDP增长贡献为零假设下的GDP增长速度。
【11】该指标衡量给定GDP增长速度外需对GDP增长做出了多大贡献,比如某年GDP增长5%和外需贡献率为10%,意味着5%的GDP增长有10%源自外需增长贡献,即隐含上述外需拉动百分数为0.5个百分点。
【12】卢锋、李昕、潘松李江:贸易失衡是否会重回国际对话热点?——近年我国贸易顺差回升现象解读,《网易财经智库》2023年9月4日。
【13】因为巴基斯坦WTO贸易调查案件没有说明我方涉案企业具体信息,因而不能判断笔者调查对象是不是相关调查涉案企业。
【14】卢锋:疫情期中美经济镜像关系,发布于北京北大国发院官方账号,2022-03-23。卢锋:疫情期经济增长特点与成因思考,发布于北京北大国发院官方账号,2022-12-21。
【15】笔者多年前与合作者发表多篇论文分析这个问题,参见:卢锋(2006)“人民币实际汇率之谜(1979-2005)——中国经济追赶实践提出的挑战性问题”《季刊》第5卷第3期,2006年4月。卢锋、韩晓亚(2006)“长期经济成长与实际汇率演变——巴拉萨一萨缪尔森效应假说及其经验证据”《经济研究》2006年第7期。卢锋(2006)“外汇储备过万亿美元的深层根源与认识启示——我国经济成长新阶段的机遇和挑战 ”《世界经济》2006年第11期。卢锋、刘鎏(2007)“我国两部门劳动生产率增长及国际比较(1978-2005)——巴拉萨-萨缪尔森效应与人民币实际汇率关系的重新考察“《季刊》第6卷第2期,2007年1月。
【16】习近平:关于《中共中央关于制定国⺠经济和社会发展第⼗四个五年规划和⼆〇三五年远景⽬标的建议》的说明,新华社,2020-11-03
【17】习近平:关于《中共中央关于进一步全面深化改革、推进中国式现代化的决定》的说明;2024-07-21